• Предмет: Алгебра
  • Автор: statpsich159
  • Вопрос задан 8 лет назад

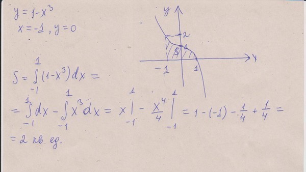
Вычислите площадь фигуры, ограниченной линиями: y=-x^3,x=-1,x=2,y=0.

Ответы

Ответ дал: lutumanova69
0

                                                 .............................................................        

Приложения:
Вас заинтересует