• Предмет: Алгебра
  • Автор: netvalerka
  • Вопрос задан 8 лет назад

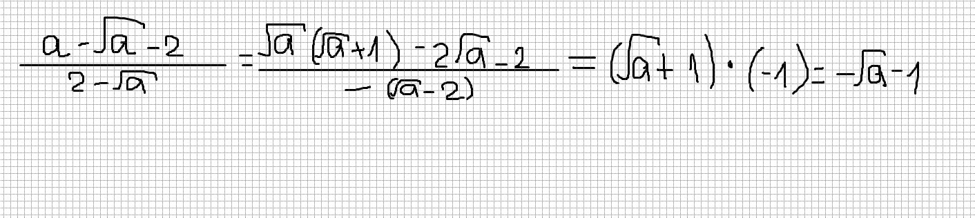
Решите пожалуйста то, что на фото:

Приложения:

Ответы

Ответ дал: yanakuleshova0000
0

только 1

.....................

Приложения:
Вас заинтересует