Ответы
Ответ дал:
0
.................................................
Приложения:

Ответ дал:
0
Спасибо)
Ответ дал:
0
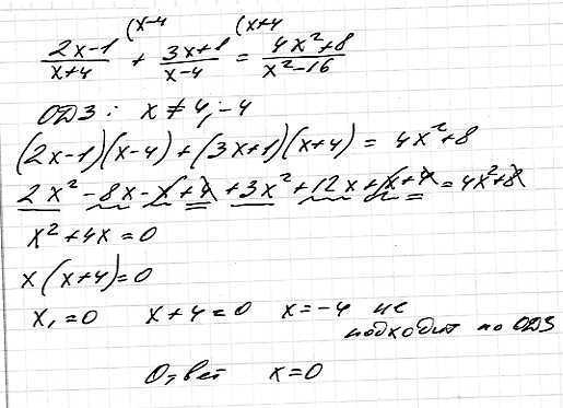
Ответ:
x=0
Пошаговое объяснение:
Приложения:


Вас заинтересует
2 года назад
2 года назад
3 года назад
9 лет назад