• Предмет: Алгебра
  • Автор: usjfjduejs
  • Вопрос задан 8 лет назад

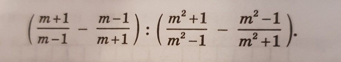
Решите пожалуйста,буду благодарен.


Приложения:

Ответы

Ответ дал: IKOLOBOKI
0
Удачи! ;))
Если не понятно, пиши в комментарии, объясню.)
Приложения:
Вас заинтересует