Ответы
Ответ дал:
0
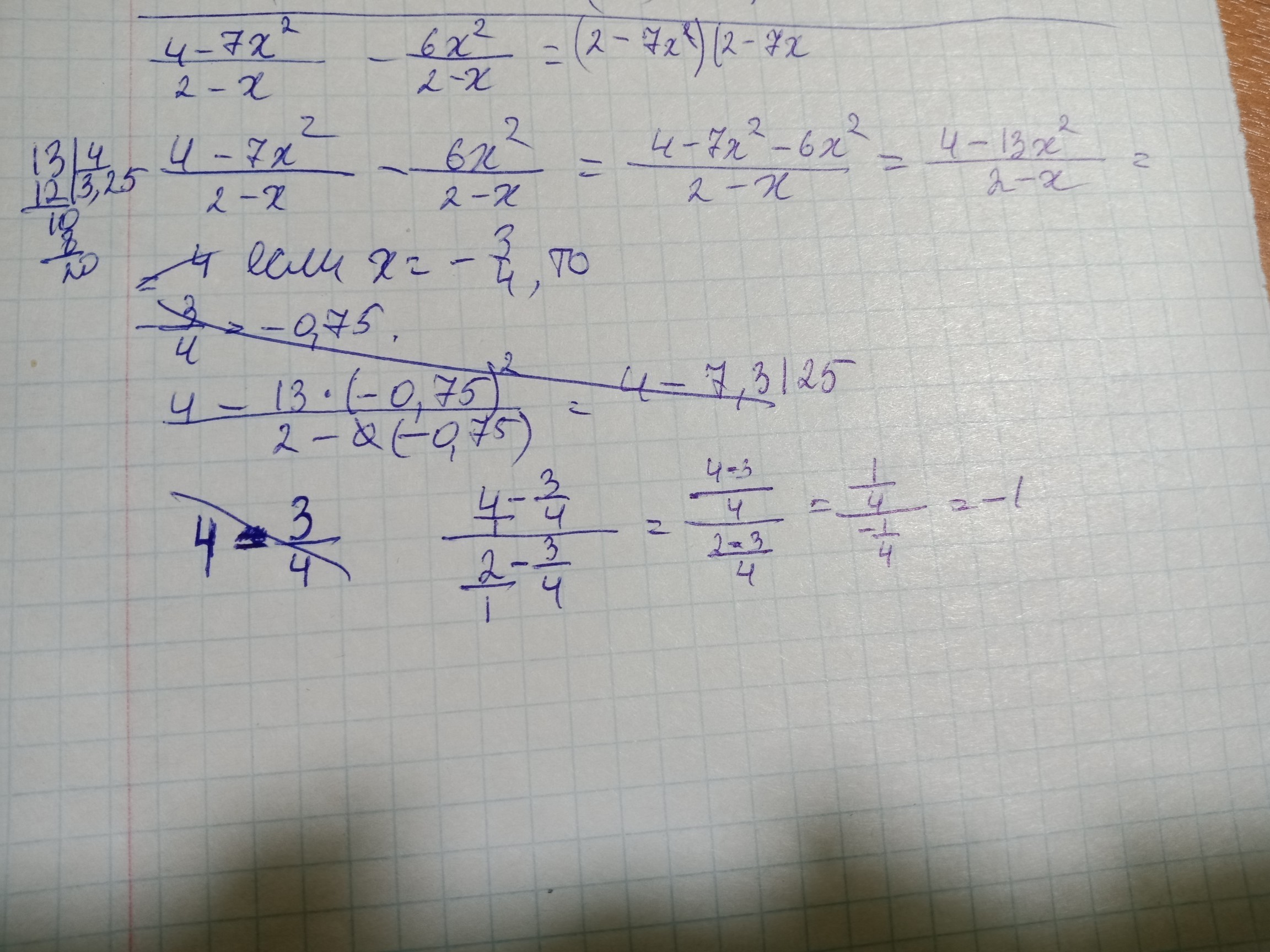
4-13x^2
-----------
2-x
4-13*9/4 =4-117/4 = 64-117/4 = -53/16
2-(-3/4) = 2+3/4 = 8+3/4 = 11/4
-53*4/16*11 = -53/44
-----------
2-x
4-13*9/4 =4-117/4 = 64-117/4 = -53/16
2-(-3/4) = 2+3/4 = 8+3/4 = 11/4
-53*4/16*11 = -53/44
Ответ дал:
0
ну наверное как-то так, точно не знаю
Приложения:
Вас заинтересует
2 года назад
2 года назад
3 года назад
9 лет назад
10 лет назад