• Предмет: Геометрия
  • Автор: IrinaZver23
  • Вопрос задан 8 лет назад

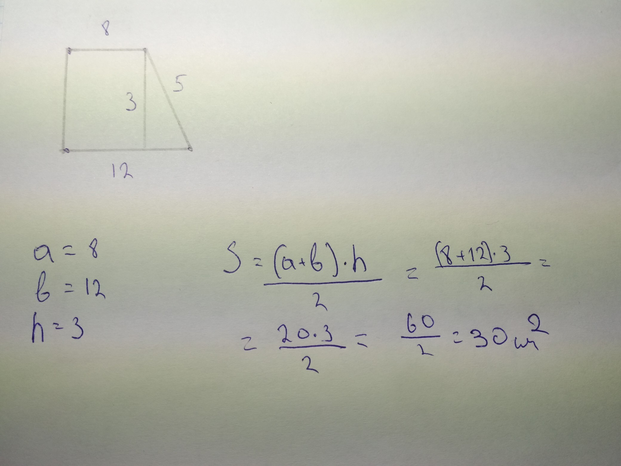
В прямоугольной трапеции основания равны 8 см и 12 см, а большая боковая сторона равна 5 см. Найдите площадь этой трапеции.

Ответы

Ответ дал: katy770
0
Привет, всегда рада помочь, решение на фотографии)
Приложения:
Ответ дал: IrinaZver23
0
Спасибо,а можешь помочь с аналогичной задачей?
Ответ дал: katy770
0
давай
Ответ дал: IrinaZver23
0
В моей профиль зайди,она там
Ответ дал: antip88
0
................................
.......
Приложения:
Ответ дал: antip88
0
крч вы должны были проходить т.Пифагора по ней я и получил 3 но всё мне надо бежать пока)))
Ответ дал: IrinaZver23
0
я понял
Ответ дал: antip88
0
ты теорему знаешь ?
Ответ дал: antip88
0
ну ок удачи)))
Ответ дал: IrinaZver23
0
да,вспомнил я
Вас заинтересует