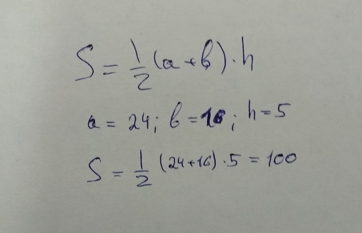
Найдите площадь трапеции ABCD с основаниями AB и CD если AB равно 24 см CD равно 16 высота H равно 5 см
Ответы
Ответ дал:
0
Если моё решение вам помогло, то отметьте его как лучшее
Приложения:
Вас заинтересует
2 года назад
2 года назад
3 года назад
3 года назад
9 лет назад
9 лет назад
10 лет назад