• Предмет: Геометрия
  • Автор: alexandra8715
  • Вопрос задан 8 лет назад

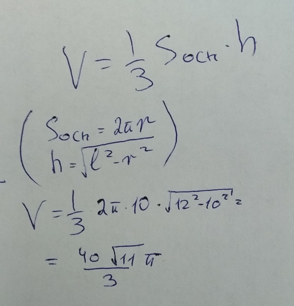
радиус основания конуса равен 10см , а его образующая равна 12 см .Найдите объем конуса

Ответы

Ответ дал: zordich
0
мне кажется, что у вас там ошибка в условии. кажется, что не радиус равен 10, а диаметр равен 10
Приложения:
Вас заинтересует