• Предмет: Алгебра
  • Автор: Telepin
  • Вопрос задан 8 лет назад

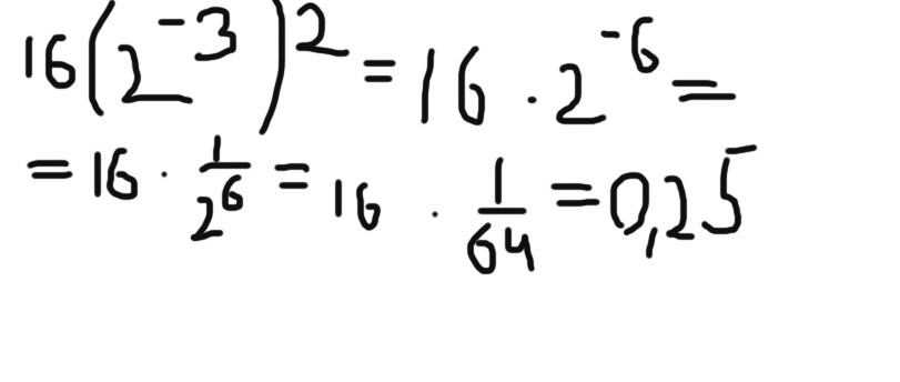
Вычеслите 16 умножить ( 2 минус в3 степени ) 2 степении

Ответы

Ответ дал: igroloshka999
0

Вот верный ответ,ответ от "Свой" неверный

Приложения:
Вас заинтересует