• Предмет: Алгебра
  • Автор: sergeysargsyanotl7bg
  • Вопрос задан 8 лет назад

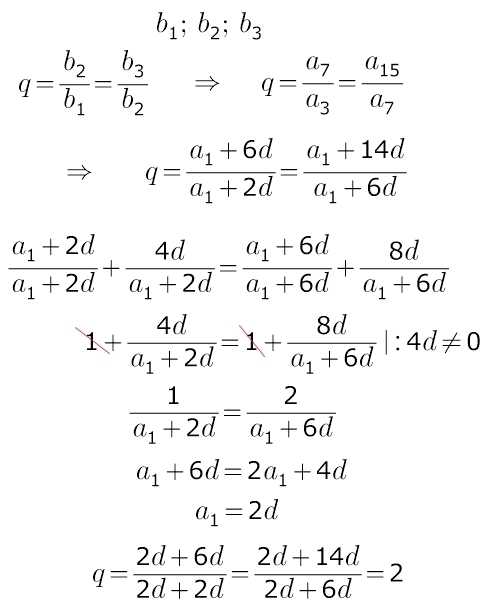
Bn-геометрическая прогрессия
An - арифметическая прогрессия
Известно что разница арифметической прогрессии не равна нулю.
Найти возможные значения знаменатель геометрическая прогрессия если
B_{1} =A_{3} , B_{2}=A_{7}, B_{3}=_{15}

Ответы

Ответ дал: LFP
0

по формуле эн-ного члена арифметической прогрессии найти зависимость между а1 и d... d сократится))

Приложения:
Вас заинтересует