• Предмет: Математика
  • Автор: sergeevrt12345
  • Вопрос задан 8 лет назад

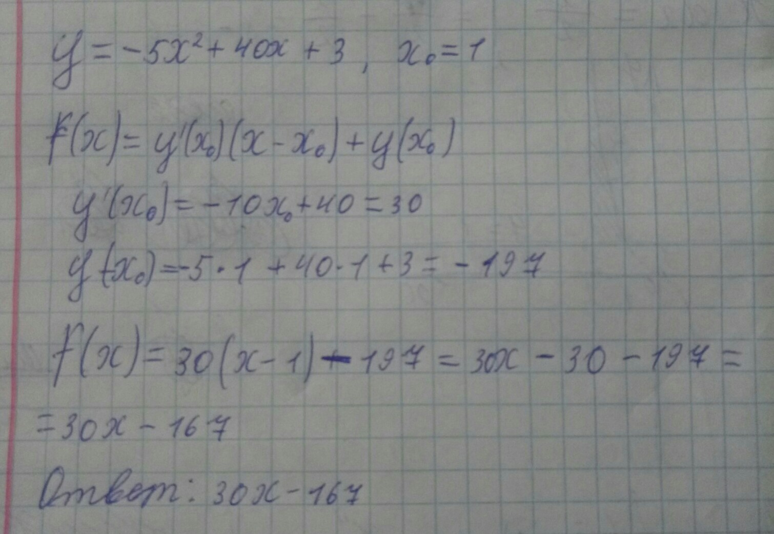
Составить уравнение касательной и нормали к графику функции y=-5х^2+40х+3 в точке х=1. 25 БАЛЛОВ ХЭЭЭЭЛП

Ответы

Ответ дал: MeDi0N
0
..........................
Приложения:
Вас заинтересует