• Предмет: Математика
  • Автор: kataconovamadina
  • Вопрос задан 8 лет назад

Решите пожалуйста даю 70 баллов, очень нужно...
8/15(2.1/4-7.1/2)-7/30 (4.2/7-8.4/7)

Ответы

Ответ дал: glebT19
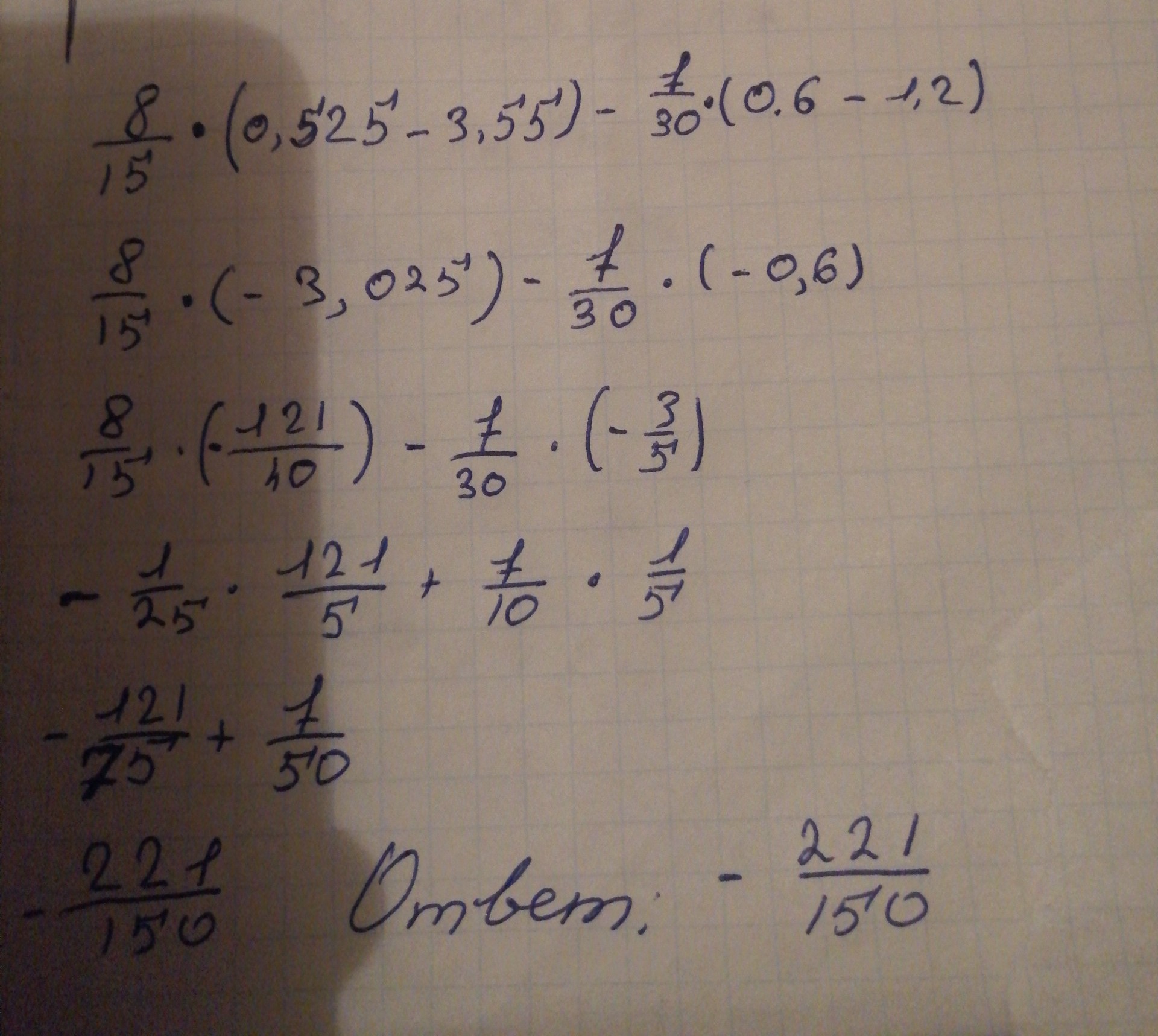
0
Вот держи думую что привильно
Приложения:
Вас заинтересует