• Предмет: Математика
  • Автор: gelya3566
  • Вопрос задан 8 лет назад

помогите пж решить квадратные уравнения!!!Срочно!!!

Приложения:

Ответы

Ответ дал: Lomoami
0

Ответ:

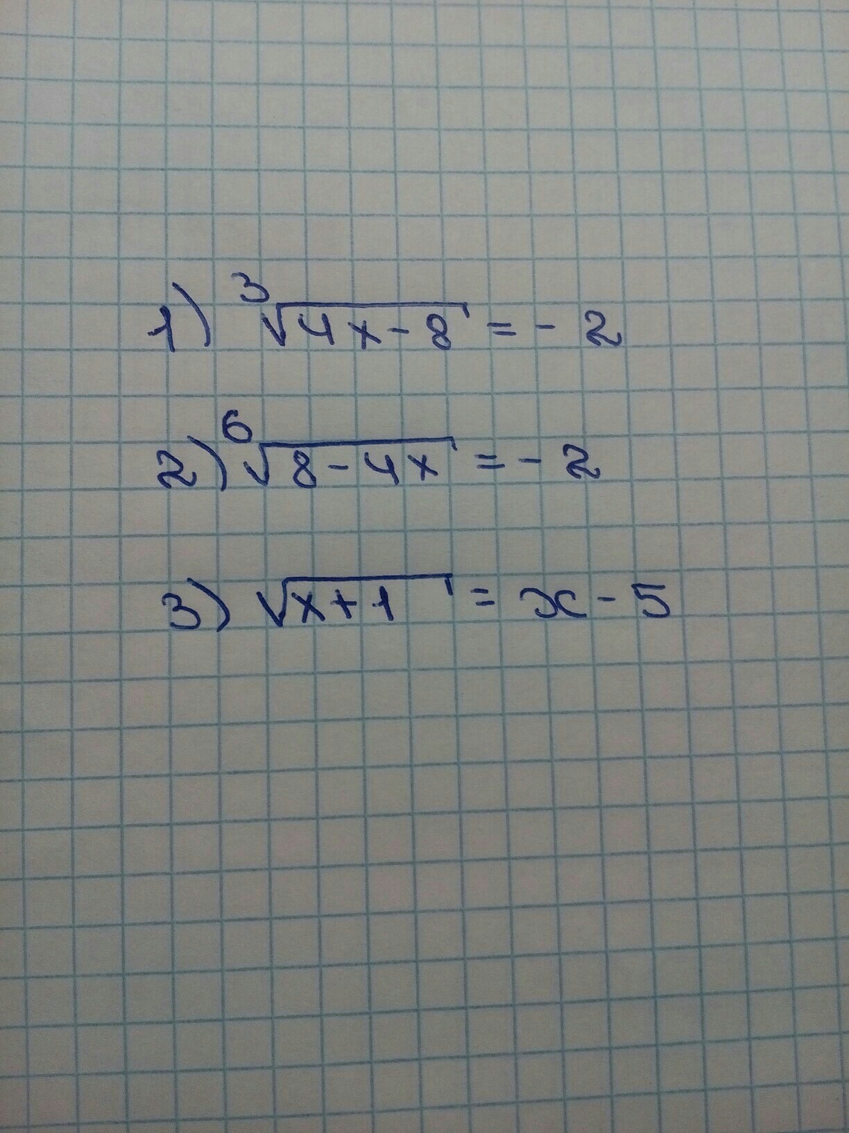
1) 0

2)-2

3)

Пошаговое объяснение:

1) возводим левую и правую часть в куб

4x-8=-8

4x=-8+8

4x=0

x=0

2) возводим левую и правую часть в шестую степень

8-4x=16

-4x=16-8

-4x=8

x=-2

3) возводим левую и правую часть в квадрат

x+1=(x-5)^2

x+1=x^2-10x+25

x^2-9x+24=0

а дальше через дискриминант(я просто не помню, прости)   ;*

Вас заинтересует