Ответы
Ответ дал:
0
Какой класс 7? Это за 3 четверть
Приложения:

Ответ дал:
0
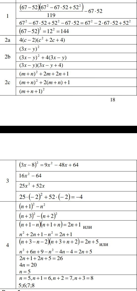
вот)
Вас заинтересует
2 года назад
2 года назад
3 года назад
9 лет назад
9 лет назад
9 лет назад