• Предмет: Алгебра
  • Автор: nonamedoor
  • Вопрос задан 8 лет назад

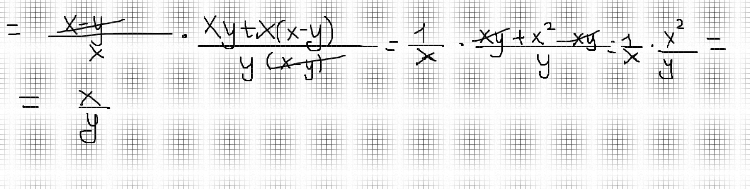
Упростить
(Больше дополнительной информации,ибо система не принимает короткий вопрос)

Приложения:

Ответы

Ответ дал: yanakuleshova0000
0

хммммммммммммммммммм

Приложения:
Ответ дал: tatnik12
0

Первое действие в скобках. Приводим к общему знаменателю и выполняем сложение.

Вторым действием умножаем. Ответ: х/у

Приложения:
Вас заинтересует