Ответы
Ответ дал:
0
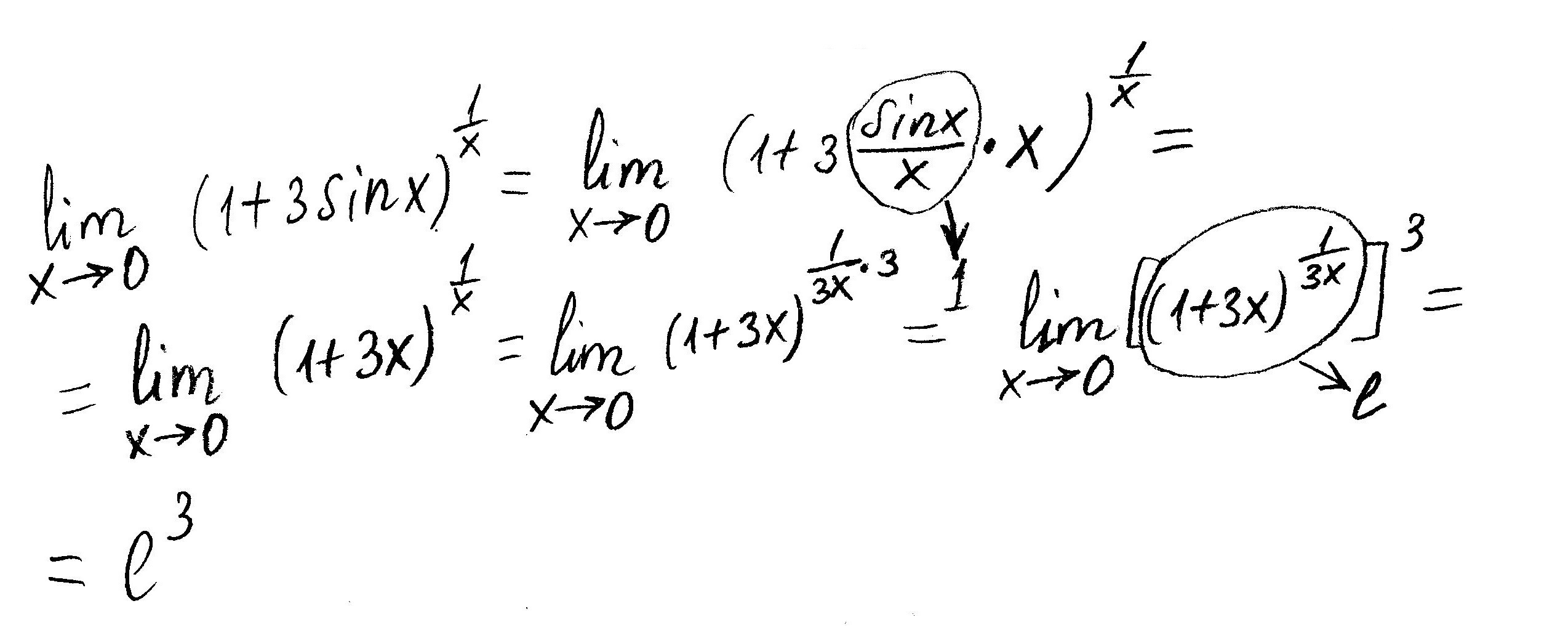
Ответ:
e³
Пошаговое объяснение:
В приложении. Используются замечательный предел
и одно из определений числа е
Приложения:

Вас заинтересует
2 года назад
2 года назад
3 года назад
3 года назад
9 лет назад
9 лет назад
9 лет назад