Ответы
Ответ дал:
0
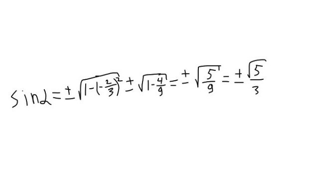
sin a ,если cos a= -2/3 ...ответ на фото
Приложения:

Вас заинтересует
2 года назад
3 года назад
3 года назад
8 лет назад
8 лет назад
9 лет назад