Ответы
Ответ дал:
0
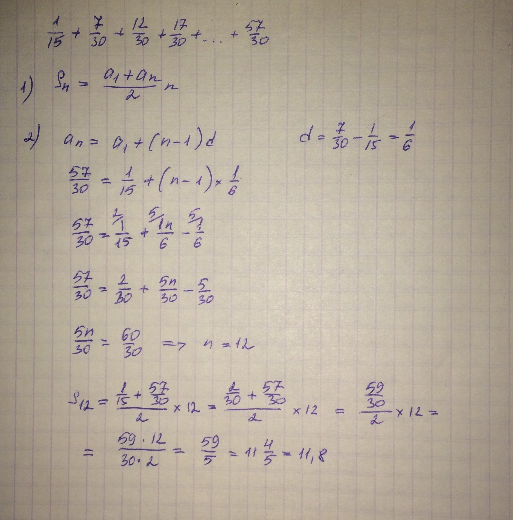
Имеем арифметическую прогрессию, где разность d=5/30 или d=1/6.
Используя формулу суммы n первых членов, найдём сумму представленного выражения. Для этого надо определить количество членов прогрессии.
Приложения:

Вас заинтересует
2 года назад
2 года назад
3 года назад
3 года назад
9 лет назад
9 лет назад
9 лет назад