• Предмет: Математика
  • Автор: mamkajin92
  • Вопрос задан 8 лет назад

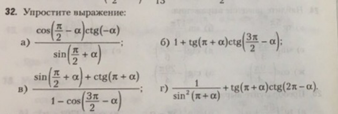
Решите пожалуйста.СРОЧНОООООО!!!!!!
если можно,с объяснением)

Приложения:

Ответы

Ответ дал: Darya789
0
смотри решение на фото
Приложения:
Ответ дал: mamkajin92
0
спасибо большое)))
Вас заинтересует