Много баллов.
Разложение многочленов на множители способом группировки. Желательно быстро и с объяснением
Приложения:

Ответы
Ответ дал:
0
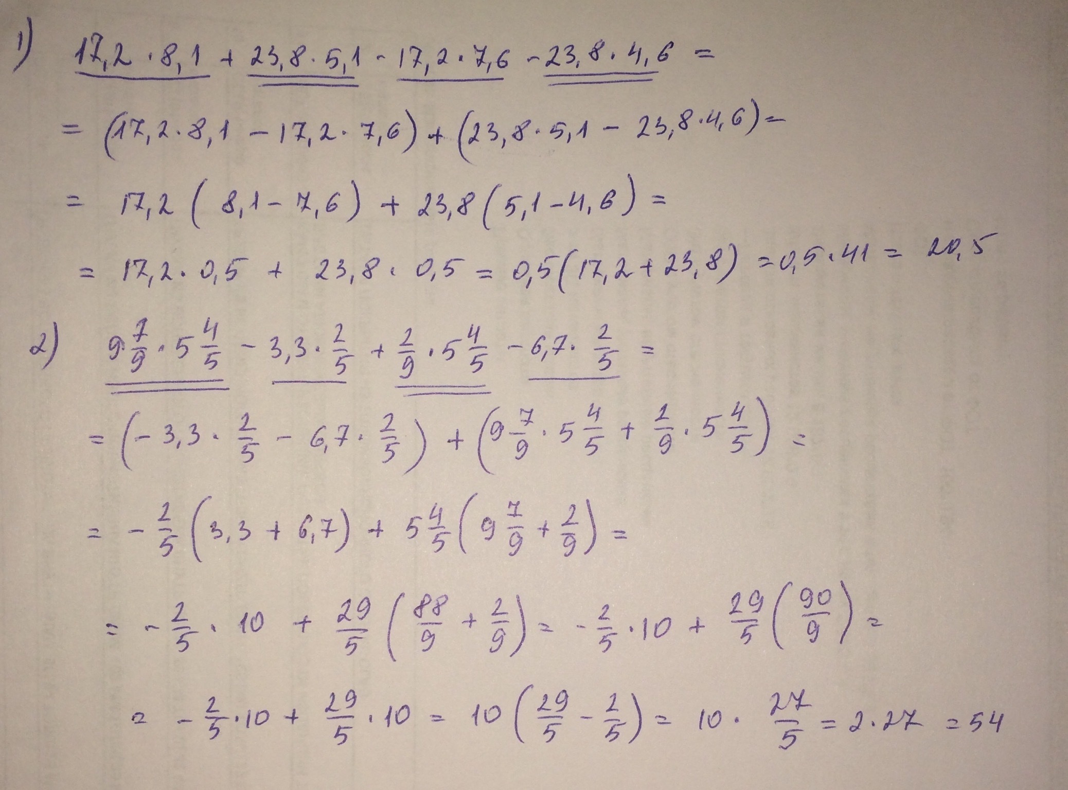
Группировка это когда подбираются слагаемые так, чтобы у них был общий множитель.
В 1 общий множитель 17,2 у 1 и 3 слагаемого, и 23,8 у 2 и 4 слагаемого. Их и группируем. Выносим общий множитель. Получилось два слагаемых и у них тоже есть общий множитель.
С дробями то же самое. Дробь записываем в виде неправильной дроби.
Приложения:

Вас заинтересует
2 года назад
2 года назад
3 года назад
3 года назад
9 лет назад
9 лет назад