Ответы
Ответ дал:
0
*******************************************
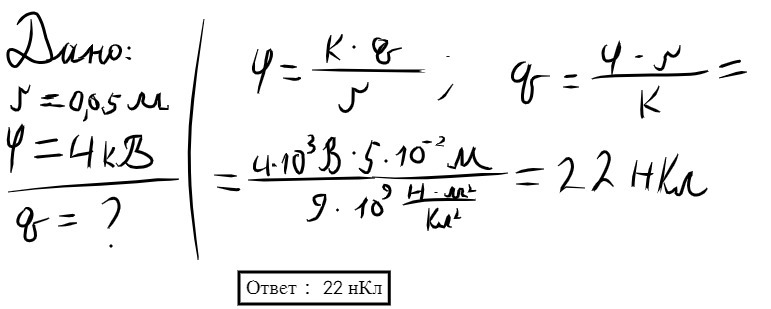
Приложения:

Вас заинтересует
2 года назад
3 года назад
9 лет назад
9 лет назад
9 лет назад