• Предмет: Алгебра
  • Автор: darusia18
  • Вопрос задан 8 лет назад

Зробіть щось, якщо щось знаєте. Хоча б якийсь один номер

Приложения:

Ответы

Ответ дал: tatnik12
0

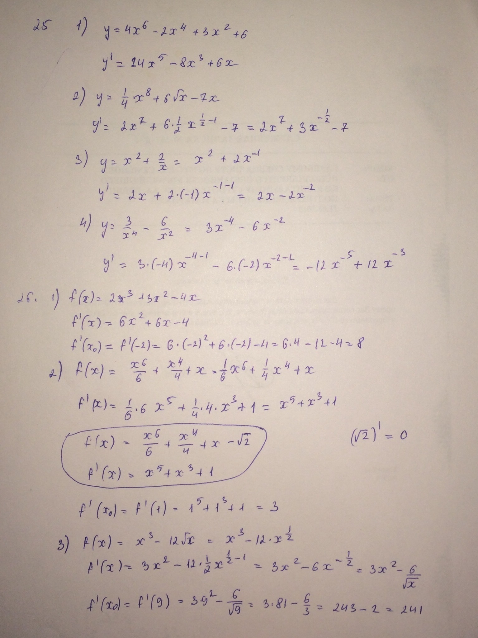
зробив 25 і 26, там в 26 під цифрах 2 забув корінь з 2

Приложения:
Вас заинтересует