• Предмет: Алгебра
  • Автор: flw87388
  • Вопрос задан 8 лет назад

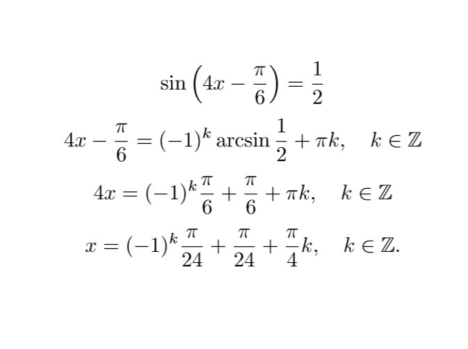
решите уравнение sin(4x-п/6)=1/2

Ответы

Ответ дал: genius20
0

Если появятся какие-нибудь вопросы — задавайте.

Если моё решение оказалось полезным, смело отмечайте его как «лучший ответ».


Приложения:
Вас заинтересует