• Предмет: Алгебра
  • Автор: kos62623
  • Вопрос задан 8 лет назад

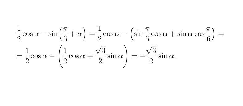
упростите выражение 1/2cosa-sin(п/6+a)

Ответы

Ответ дал: genius20
0

Если появятся какие-нибудь вопросы — задавайте.


Если моё решение оказалось полезным, смело отмечайте его как «лучший ответ».


Приложения:
Вас заинтересует