• Предмет: Алгебра
  • Автор: appeh
  • Вопрос задан 8 лет назад

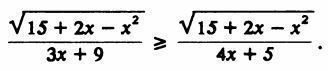
Пробовал переносить все влево и выносить корень как множитель. Ответы вышли x>=5, -3 , 4. С ответами сверялся, там промежуток (-3, - 5/4) U [4, +бесконечность)

Был бы очень признателен за помощь!

Приложения:

Ответы

Ответ дал: valenivan
0

Решение задания приложено

Приложения:
Вас заинтересует