Помоги пожалуйста Сор по математике срочно нужен пожалуйста Дам 25 баллов все что есть пожалуйста
Приложения:

Ответы
Ответ дал:
0
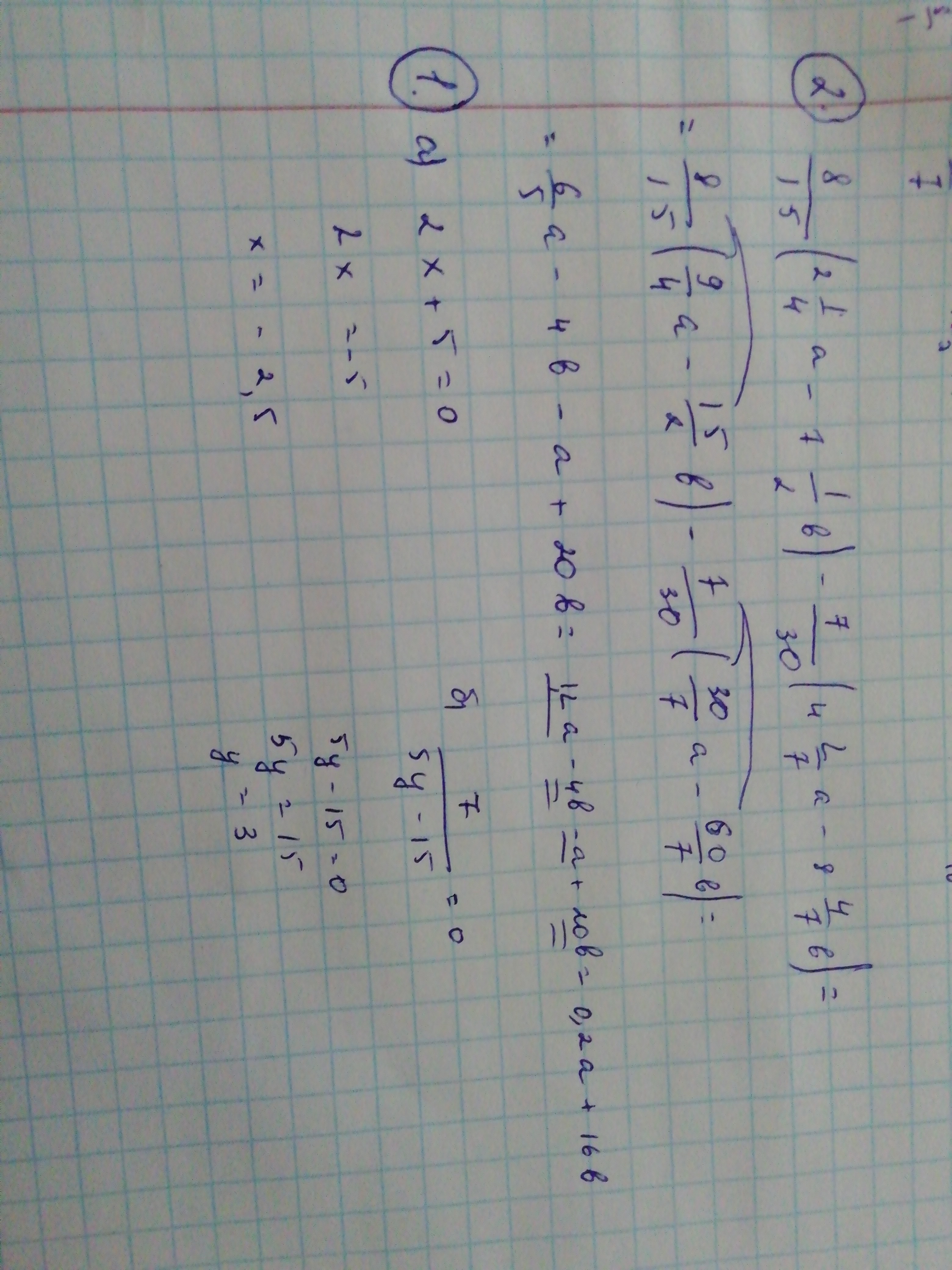
Ответ:
Пошаговое объяснение:
Приложения:

Ответ дал:
0
Спасибо огромное вам спасибо большое
Ответ дал:
0
у вас в решении допущена ошибочка
Ответ дал:
0
а именно где можете подсказать
Ответ дал:
0
в первом примере где 60 и 30 сокращ у вас там получ 20 вместо 2
Ответ дал:
0
Увидела, спасибо
Ответ дал:
0
Ответ:
815*94а-815*152в-730*307а+730*607в=65а-4в-а+2в=1 15а-а-4в+2в=15в-2в
Пошаговое объяснение:
Приложения:

Ответ дал:
0
спасибо большое вам спасибо огромное
Вас заинтересует
2 года назад
2 года назад
3 года назад
3 года назад
9 лет назад
9 лет назад