Помогите пожалуйста!!!
Розкладіть на множники тричлен, виділивши попередньо квадрат двочлена:
Приложения:

Ответы
Ответ дал:
0
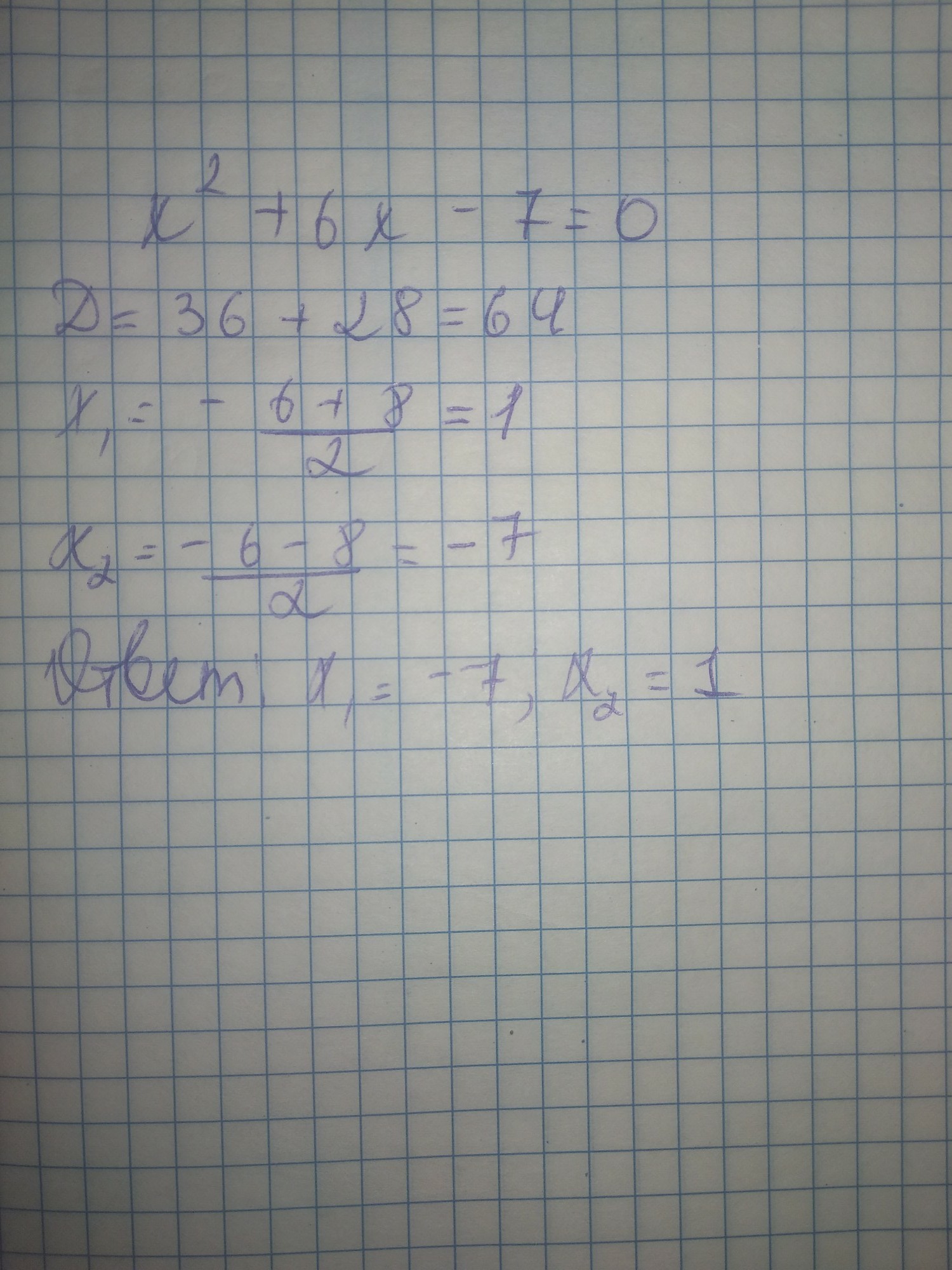
решение через квадратное уравнение
Приложения:

Ответ дал:
0
отметь как лучший ответ пж
Вас заинтересует
2 года назад
2 года назад
3 года назад
3 года назад
9 лет назад
9 лет назад