• Предмет: Алгебра
  • Автор: tatyanasafonov
  • Вопрос задан 8 лет назад

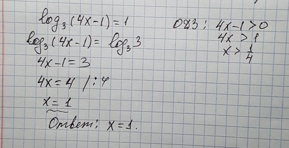
Log3 (4x-1) = 1 помогите

Ответы

Ответ дал: 1233090
0
решение задания смотри на фотографии
Приложения:
Вас заинтересует