• Предмет: Математика
  • Автор: Shutkinvadim17
  • Вопрос задан 8 лет назад

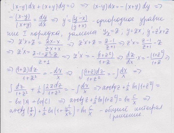
(x+y)dx+(y-x)dy=0 Найти общее решение уравнения (Тема:решение дифференциальные уравнения первого порядка)

Ответы

Ответ дал: serdukovaev
0

Ответ:


Пошаговое объяснение:


Приложения:
Вас заинтересует