Ответы
Ответ дал:
0
Ответ:
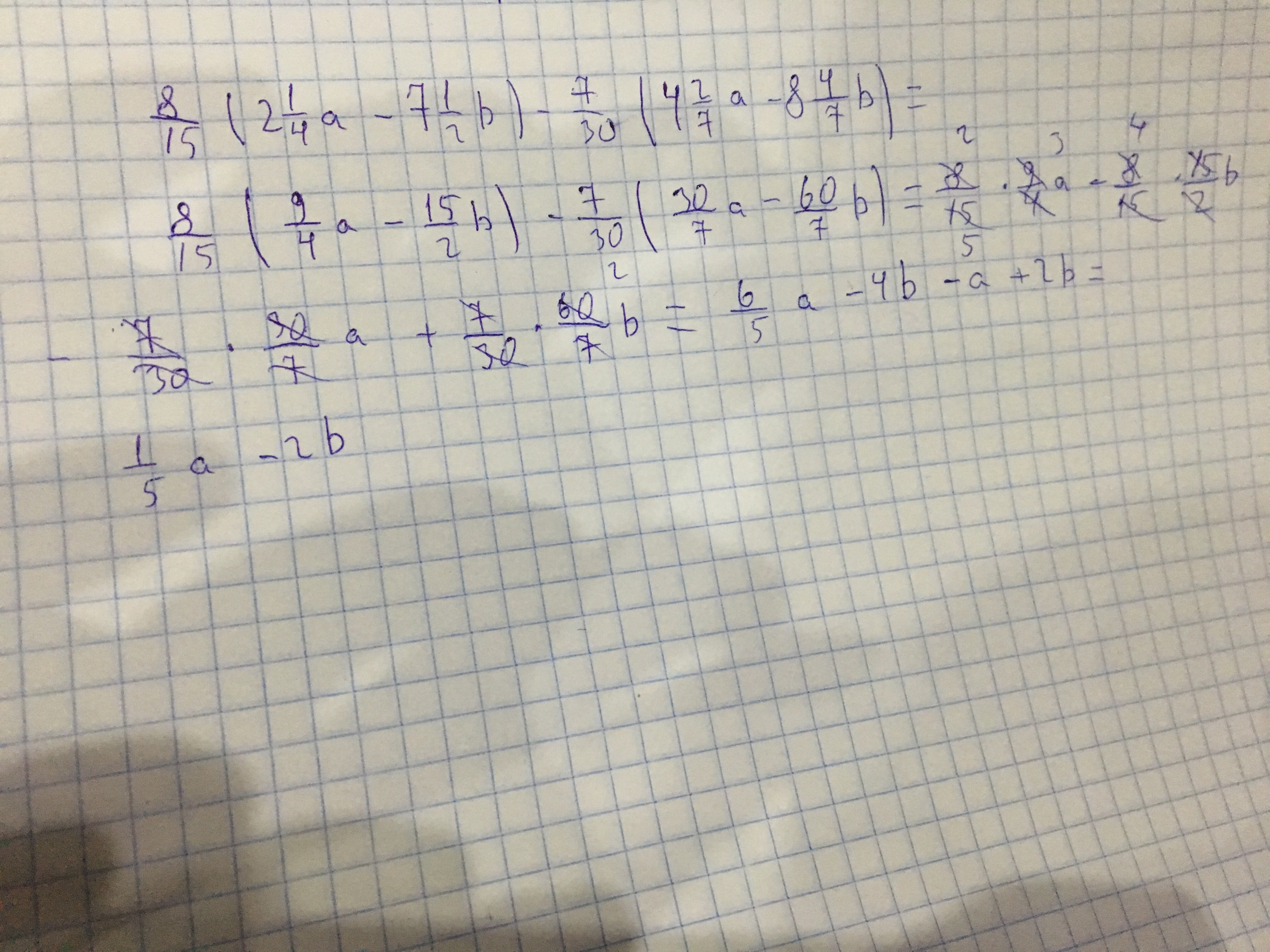
Прости что непонятный подчерк но думаю ты поймёшь :)
Пошаговое объяснение:
Приложения:

Ответ дал:
0
Спасибо большое ты лучший)
Ответ дал:
0
спасибо :))
Ответ дал:
0
если что обращайся
Вас заинтересует
2 года назад
2 года назад
9 лет назад
9 лет назад