• Предмет: Математика
  • Автор: VictoriyaNagai
  • Вопрос задан 8 лет назад

помогите пожалуйста!!!! 20 баллов)

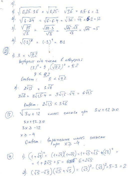
Приложения:

Ответы

Ответ дал: Lod2000
0

Ответ:


Пошаговое объяснение:

Ответ во вложении..........................

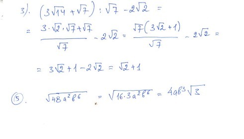
Приложения:
Вас заинтересует