• Предмет: Алгебра
  • Автор: glebreih
  • Вопрос задан 8 лет назад

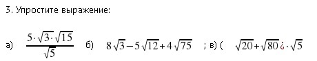
Помогите порешать . :D
За годный совет - лучший ответ.

Приложения:

Ответы

Ответ дал: Cactus03
0
а) сначала сокращаем √15 и √5 на √5 и получаем 5*√3*√3= 15
в) мы √80*√5= √400=20+√20
Ответ дал: glebreih
0
А б?
Вас заинтересует