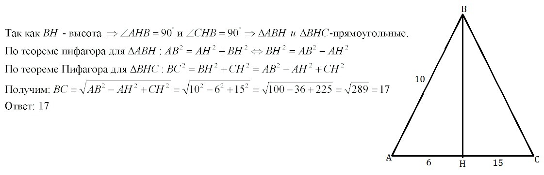
В треугольнике АВС сторона АВ=10см. Высота ВН делит сторону АС на отрезки АН=6см СН=15см. Найдите длину стороны ВС
Ответы
Ответ дал:
0
Решение во вложении.
Ответ: 17
Приложения:

Вас заинтересует
2 года назад
3 года назад
3 года назад
8 лет назад
9 лет назад
9 лет назад