Ответы
Ответ дал:
0
Воть держи
-------------------
-------------------
Приложения:

Ответ дал:
0
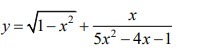
[-1; -1/5) объединение (-1/5;1)
Приложения:

Вас заинтересует
2 года назад
2 года назад
3 года назад
9 лет назад
9 лет назад