• Предмет: Алгебра
  • Автор: lizava2003
  • Вопрос задан 8 лет назад

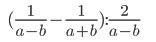
Сократите выражение. Я знаю ответ, но мне нужно подробное решение по порядку. Помогите разобраться в этой теме, не знаю как решать выражения такого плана.

Приложения:

Ответы

Ответ дал: lerka05953
0
Ответ на фото, извини за почерк
Приложения:
Ответ дал: lizava2003
0
Большое спасибо! нашла свои ошибки и разобралась
Вас заинтересует