• Предмет: Алгебра
  • Автор: Gavro
  • Вопрос задан 8 лет назад

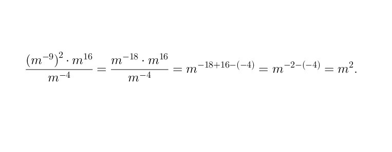
Упростите выражение (m^-9)^2*m^16/m^-4

Приложения:

Ответы

Ответ дал: genius20
0

Если появятся какие-нибудь вопросы — задавайте.

Если моё решение оказалось полезным, смело отмечайте его как «лучший ответ».

Приложения:
Ответ дал: Universalka
0

frac{(m^{-9})^{2}*m^{16}}{m^{-4} }=frac{m^{-18}*m^{16}}{m^{-4} }=m^{-18+16-(-4)}=m^{-2+4}= m^{2}

Приложения:
Вас заинтересует