• Предмет: Математика
  • Автор: nafisagamzatova
  • Вопрос задан 8 лет назад

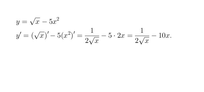
Y=√x-5x^2 найдите производную

Приложения:

Ответы

Ответ дал: genius20
0

Если появятся какие-нибудь вопросы — задавайте.

Если моё решение оказалось полезным, смело отмечайте его как «лучший ответ».

Приложения:
Ответ дал: nafisagamzatova
0
А что за запятые над примером?
Ответ дал: genius20
0
Штрих — обозначение первой производной
Вас заинтересует