• Предмет: Алгебра
  • Автор: Аноним
  • Вопрос задан 11 лет назад

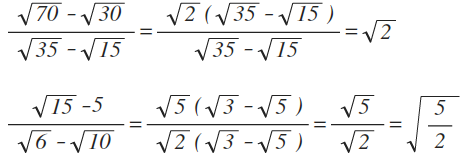
а)корень из (70)-корень из (30) числитель!                                                                                               делить на корень из (35)-корень из (15)                                                                     б)корень из (15)-5     числитель                                                                                                   делить на корень из (6)-корень из (10)                                                                     

Ответы

Ответ дал: eVa74
0
 frac{ sqrt{10}( sqrt{7 }- sqrt{3}  ) }{ sqrt{5}( sqrt{7}- sqrt{3}  ) }= sqrt{2}

Ответ дал: Аноним
0
решение смотри во вложении
Приложения:
Вас заинтересует