Ответы
Ответ дал:
0
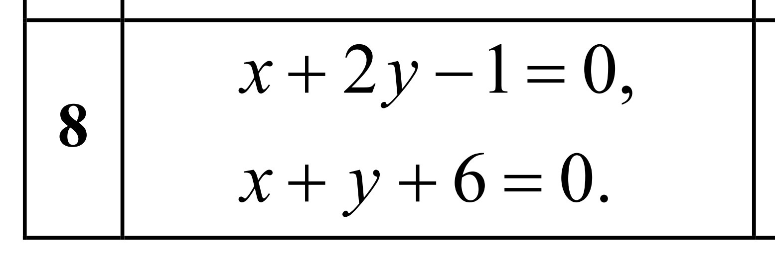
a(1;2;0) ; b(1;1;0).
|a| = √1²+2²+0 = √3.
|b| = √1²+1²+0 = √2.
cosx = a*b/|a|*|b| = (1*1+2*1+0*0)/√3*√2 = 3/√5.
х = arccos(3/√5).
|a| = √1²+2²+0 = √3.
|b| = √1²+1²+0 = √2.
cosx = a*b/|a|*|b| = (1*1+2*1+0*0)/√3*√2 = 3/√5.
х = arccos(3/√5).
Вас заинтересует
2 года назад
2 года назад
3 года назад
3 года назад
9 лет назад
9 лет назад
10 лет назад