• Предмет: Математика
  • Автор: 24na7Mypka
  • Вопрос задан 8 лет назад

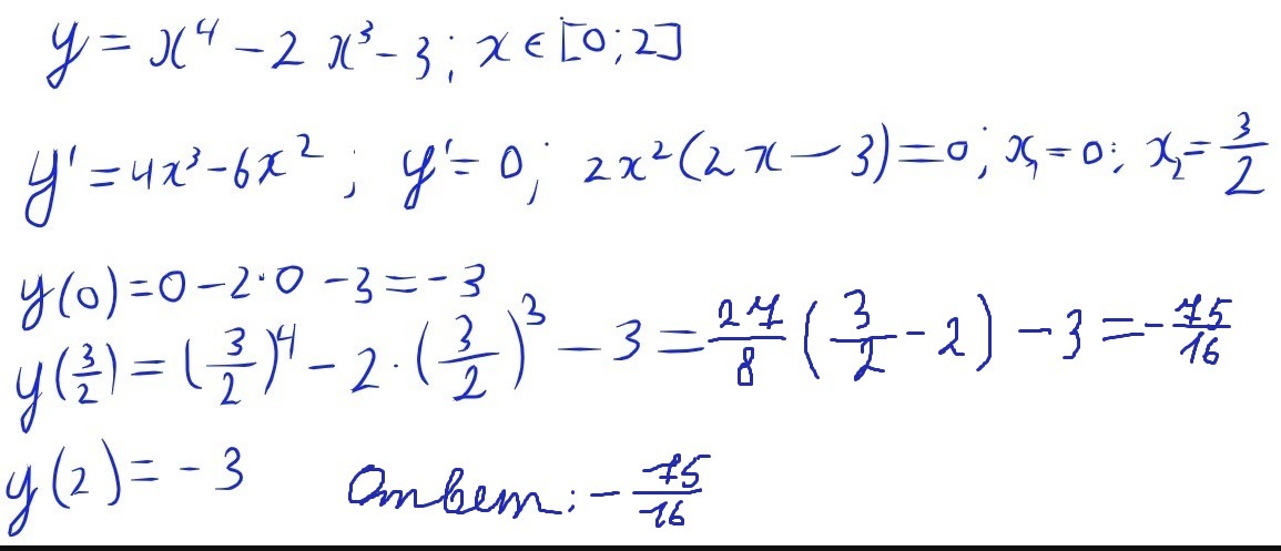
найдите наименьшее значение функции y=x^4-2x^3-3 на [0;2]

Ответы

Ответ дал: MeDi0N
0

***********************************

Приложения:
Вас заинтересует