Ответы
Ответ дал:
0
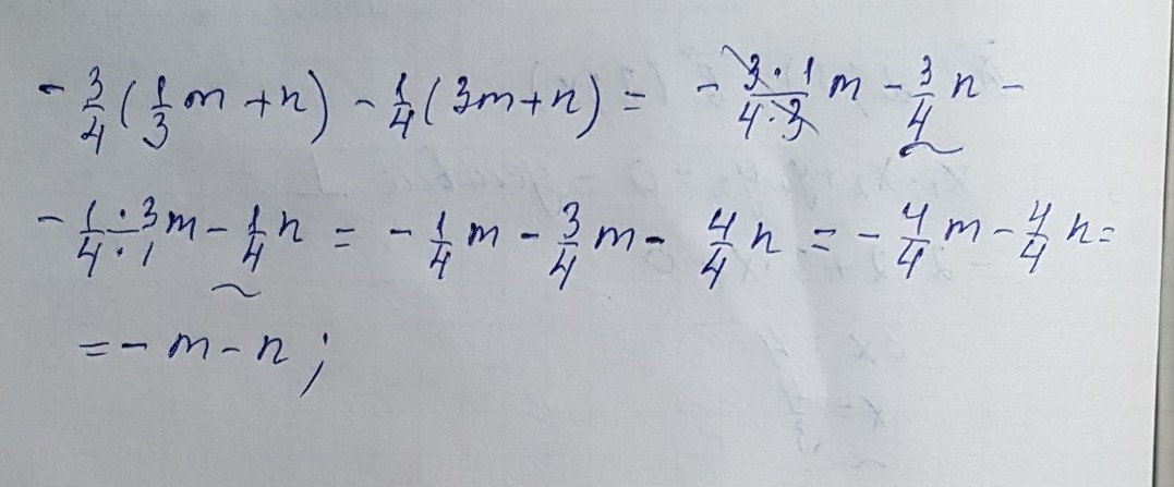
решение задания смотри на фотографии
Приложения:

Ответ дал:
0
Спасибо за оценку
Ответ дал:
0
наборот тебе спасибо
Ответ дал:
0
был рад помочь
Вас заинтересует
3 года назад
3 года назад
9 лет назад
9 лет назад
9 лет назад