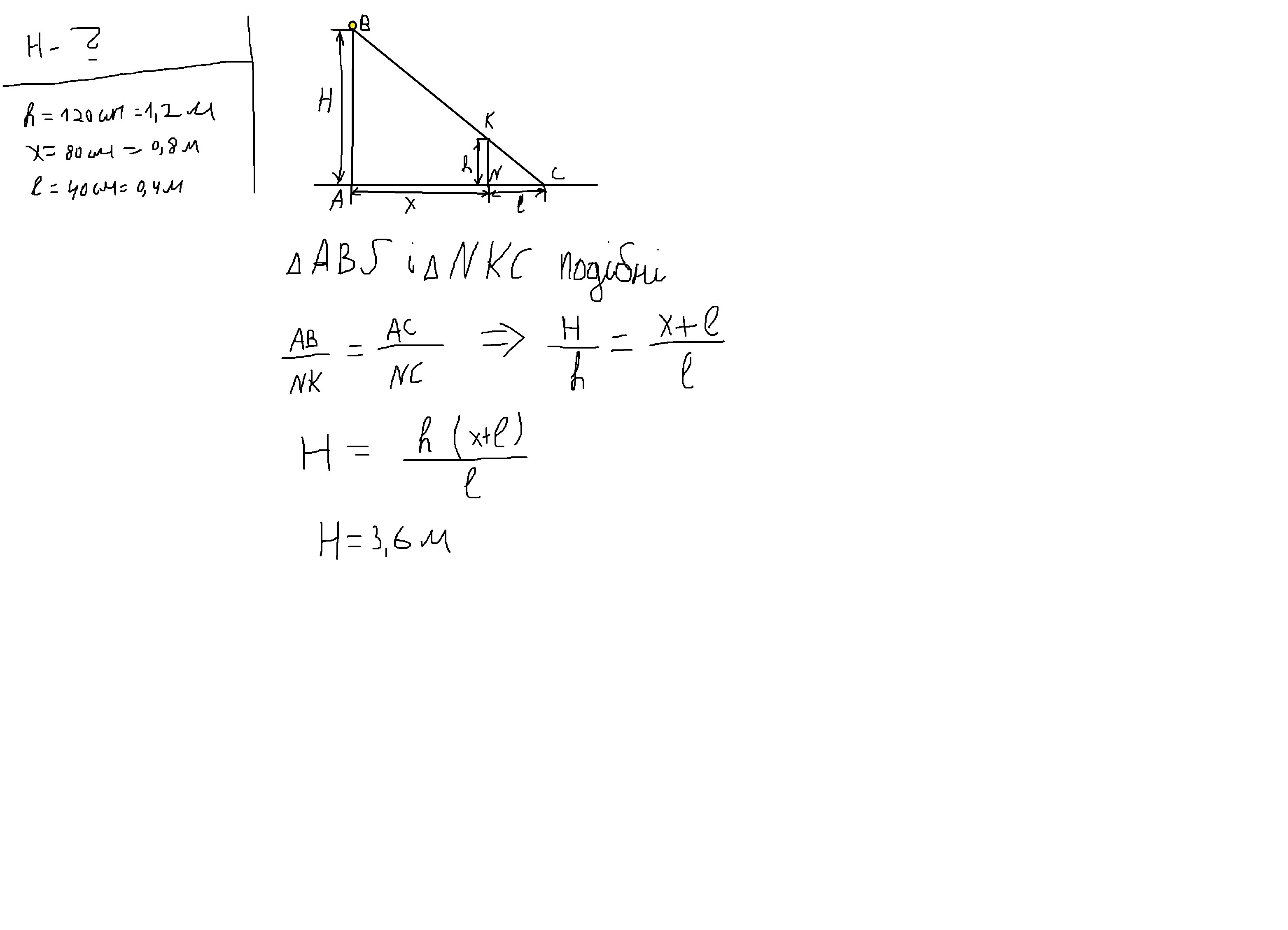
Шест высотой 120 см поставлен вертикально вблизи фонарного столба. После того, как его перенесли на 80 см от столба по направлению тени, длина его тени увеличилась на 40 см.
Найдите высоту, на которой подвешен фонарь.
Ответы
Ответ дал:
0
Тримай, якщо не зрозуміло, то запитуй
Приложения:

Вас заинтересует
2 года назад
3 года назад
9 лет назад
9 лет назад