• Предмет: Математика
  • Автор: tatiana1154
  • Вопрос задан 8 лет назад

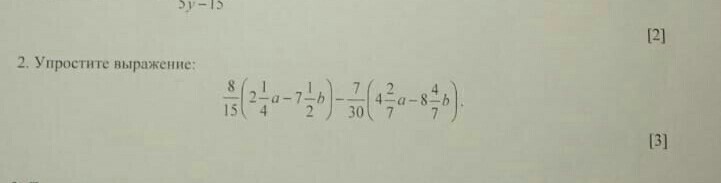
спасите !!!!упростить выражение!

Приложения:

Ответы

Ответ дал: tatsach
0

Ответ:


Пошаговое объяснение:


Приложения:
Вас заинтересует