Ответы
Ответ дал:
0
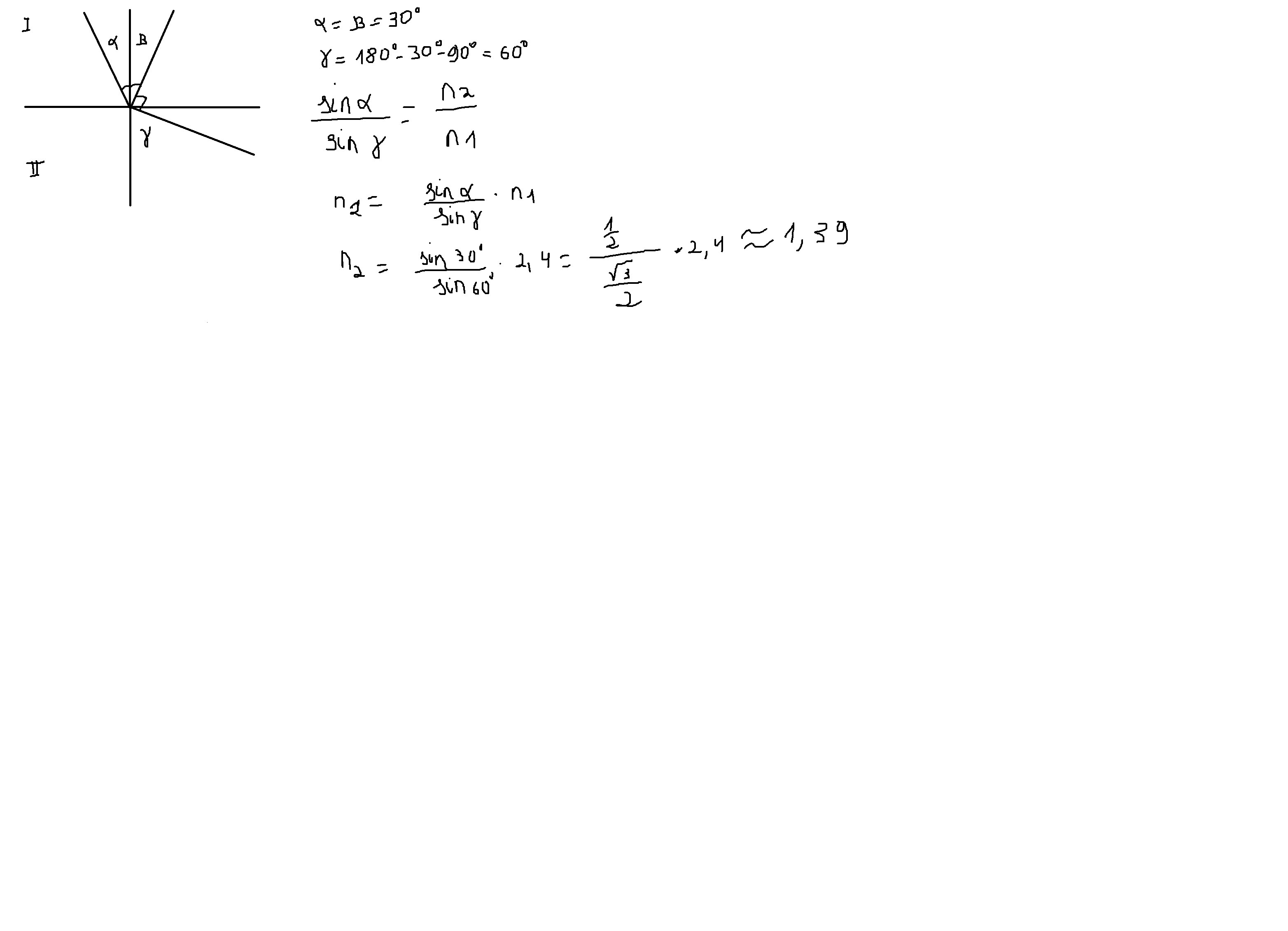
1) Більш оптично густе перше середовище
Приложения:

Ответ дал:
0
Почему первая ?
Ответ дал:
0
Если свет падает из оптически более плотной среды в оптически менее плотную, то при определенном для каждой среды угле падения, преломленный луч исчезает. Наблюдается только отражение. Это явление называется полным внутренним отражением.
Вас заинтересует
3 года назад
3 года назад
9 лет назад
9 лет назад
9 лет назад
9 лет назад