• Предмет: Алгебра
  • Автор: kadir001
  • Вопрос задан 8 лет назад

Пожалуйста помогите
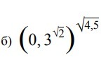
алгебра 10 класс
ВЫЧИСЛИТЕ

Приложения:

Ответы

Ответ дал: maksimcat
0

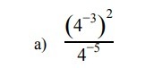
Ответ на фото/////////////

Приложения:
Ответ дал: mmb1
0
лучше избавляться от иррациональности в знаменателе
Ответ дал: maksimcat
0
Ок
Вас заинтересует