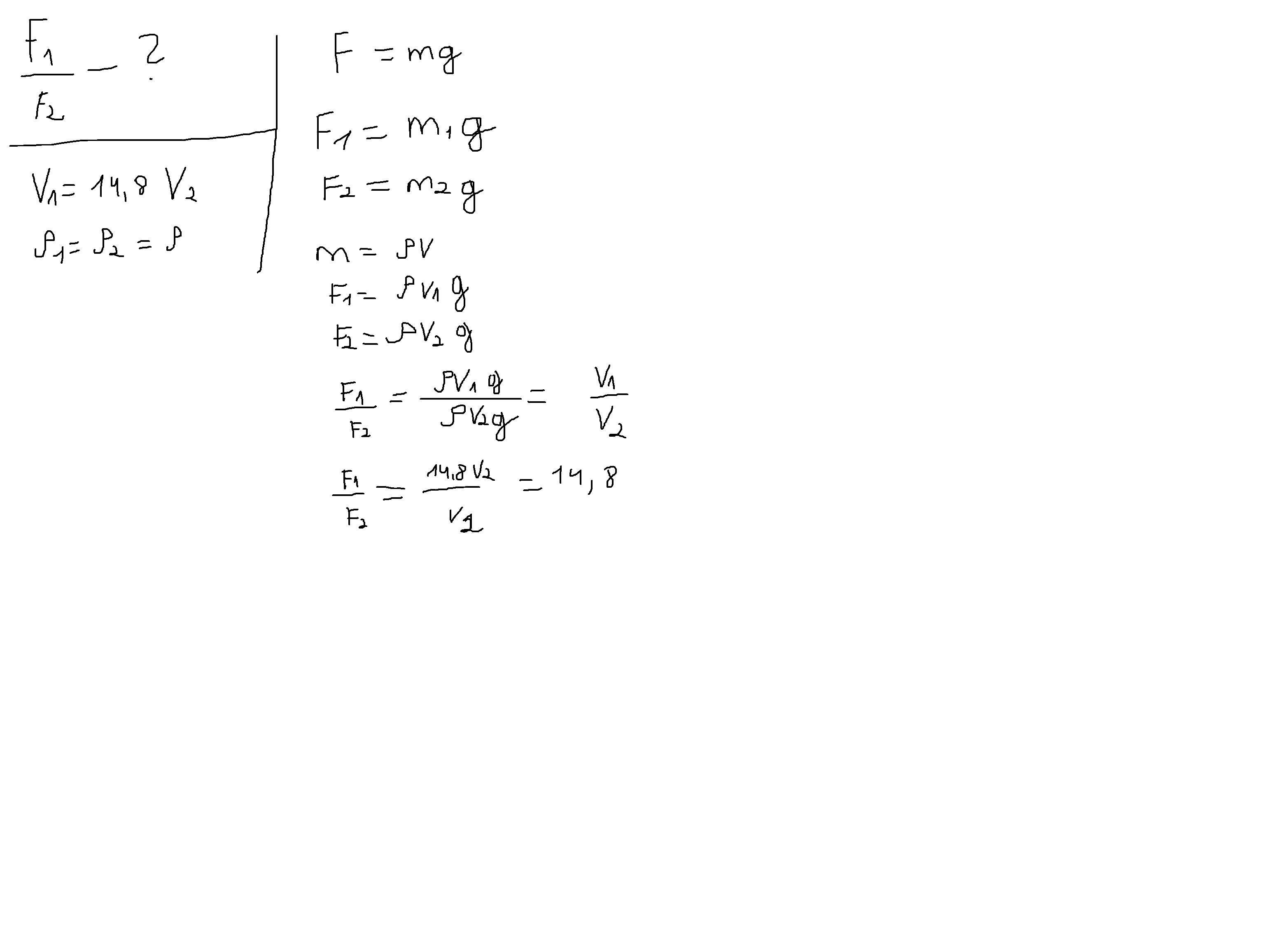
Две шпалы изготовленны из одного материала . Объём второй шпалы в 14,8 раза меньше , чем первой . На какую шпалу действует большая сила тяжести и во сколько раз ? СРЛЧНО !!!!!!!!!
Ответы
Ответ дал:
0
Відповідь:
На першу шапку дія сила тяжіння у 14, 8 разів більша ніж на другу
Приложения:

Вас заинтересует
2 года назад
2 года назад
9 лет назад
9 лет назад
9 лет назад