• Предмет: Физика
  • Автор: Ник0000045
  • Вопрос задан 8 лет назад

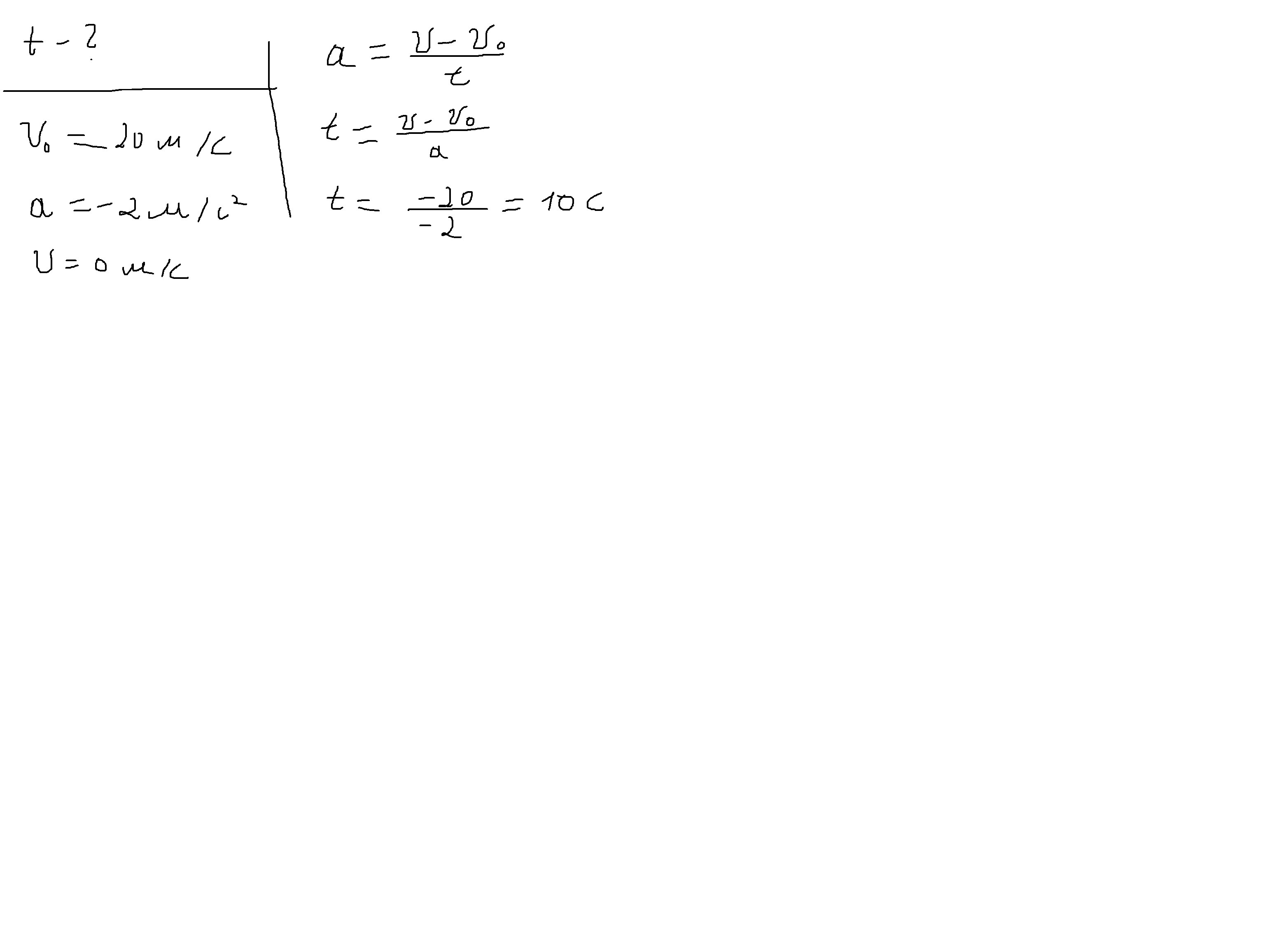
СРОЧНО!!( с дано) Мяч получил начальную скорость , равную 20 м / с . Через какое время он остановится , если ускорение мяча - 2 м / с " ?

Ответы

Ответ дал: іваньок
0

Відповідь у моїх  каракулях

Приложения:
Вас заинтересует