• Предмет: Физика
  • Автор: andre6990
  • Вопрос задан 8 лет назад

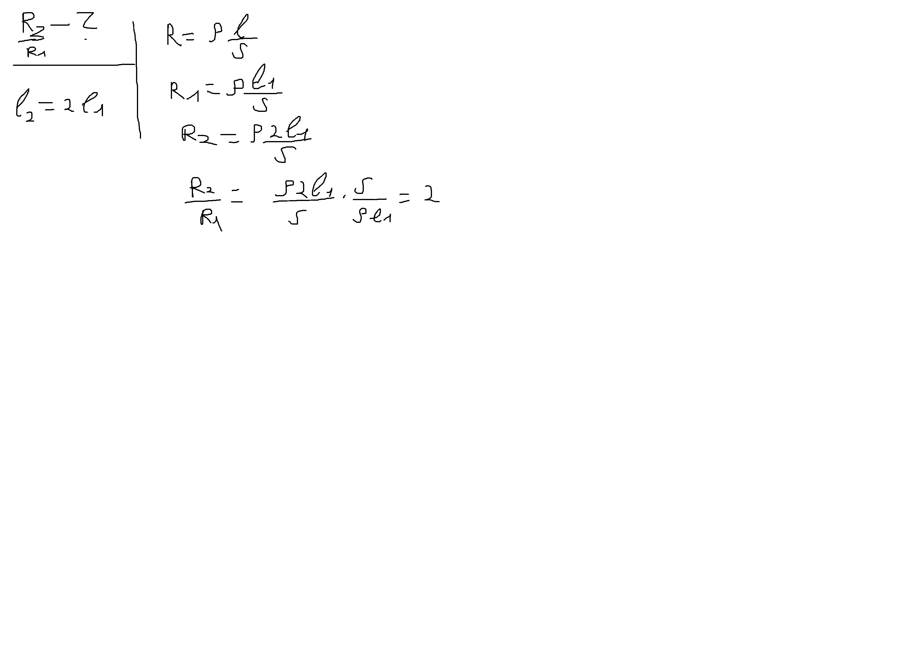
уменьшится или увеличится сопротивление медного провода если его длину увеличить в два раза

Ответы

Ответ дал: Dedagenn
0
Любого провода -увеличится в 2 раза
Ответ дал: малинка179
0
помогите с заданиями пожалуйста
Ответ дал: іваньок
0

Сопротивление увеличится в два раза

Приложения:
Вас заинтересует