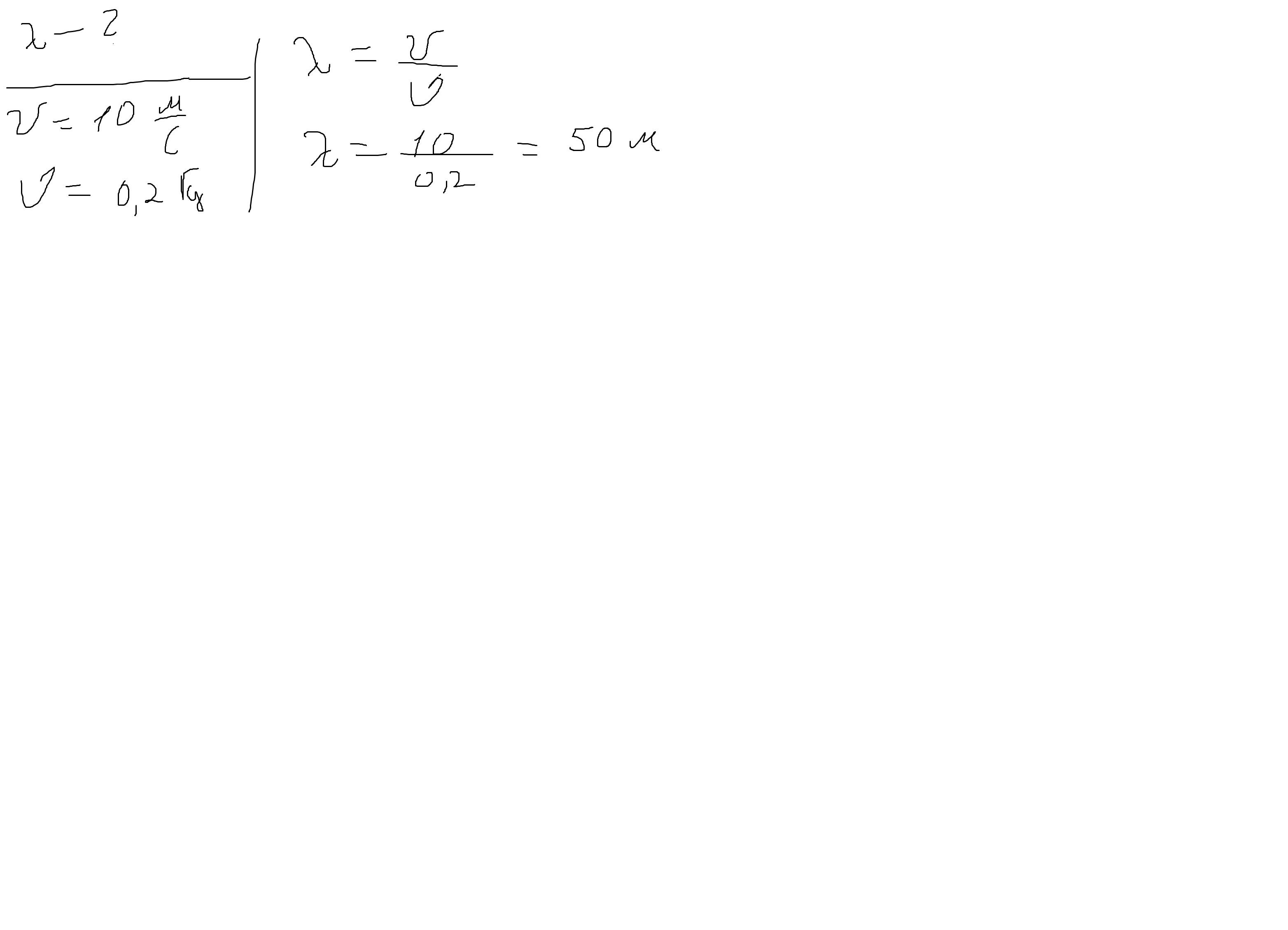
наидие длину волны распространшся со скростю 10мс если чистица волне калебается с чистотои 0;2 Гц
Ответы
Ответ дал:
0
ответ смотри на фото
Приложения:
Вас заинтересует
2 года назад
2 года назад
3 года назад
3 года назад
9 лет назад
9 лет назад
10 лет назад