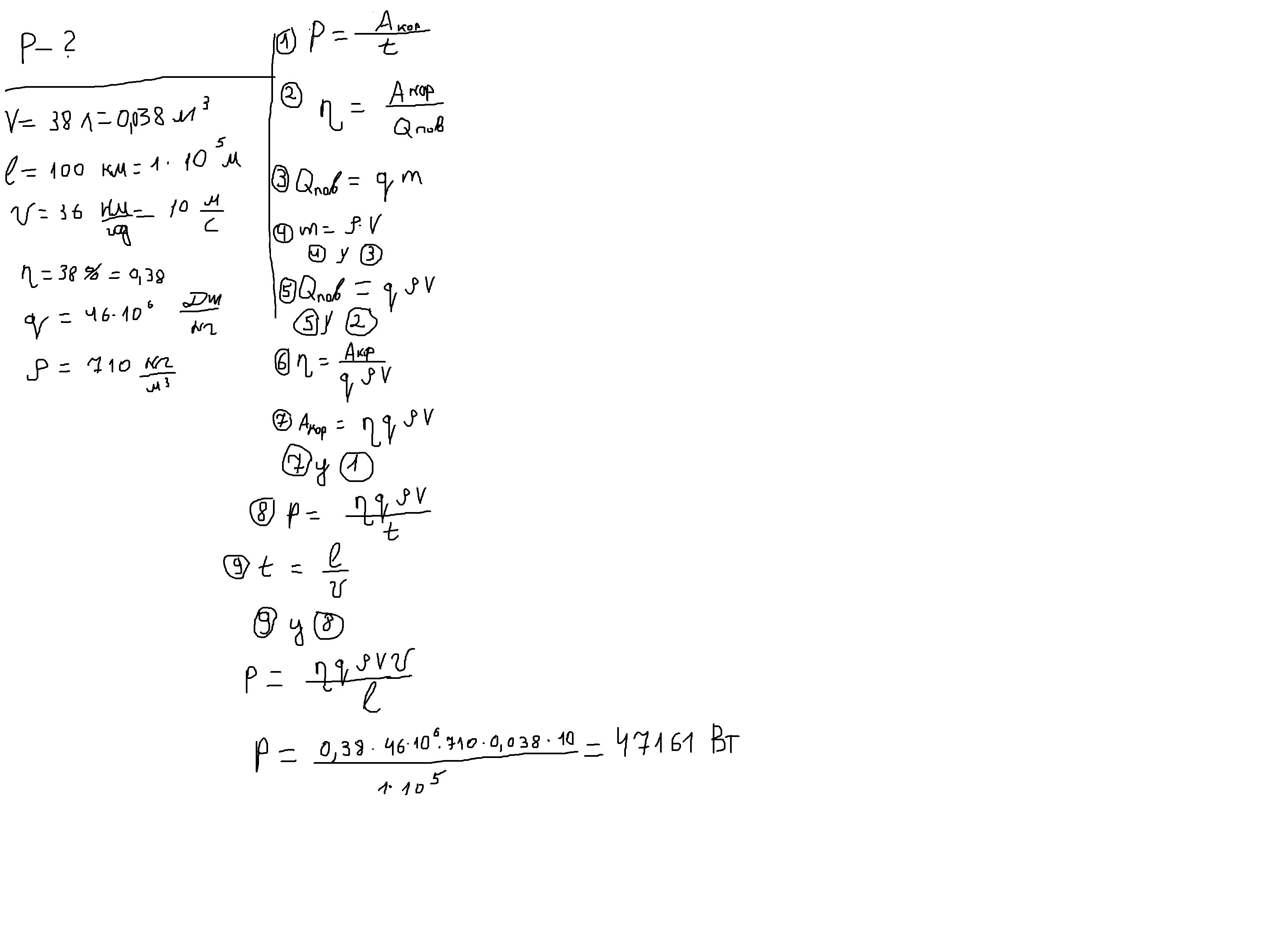
Дам 20 балов !!! Визначте потужність двигуна автомобіля, якщо витрати бензину становлять 38л на 100км шляху за умови, що середня швидкість руху дорівнює 36км/год. ККД двигуна =38%
Ответы
Ответ дал:
0
кпд=П с хвостом
П=N*t/Q=N*t/(q*m)
N=П*q*m/S
m=r*V масса=плотность*объем
N=0.38*4.6*10^7*38*0.71/100=4716*10^3
Ответ дал:
0
Виглядає трохи громіздко
Приложения:

Вас заинтересует
2 года назад
2 года назад
3 года назад
9 лет назад
9 лет назад